The equation of motion for a single pendulum subjected to gravity, without taking friction into account is:
For two pendula coupled by a spring a coupling term is added to the equation of motion of each pendulum. The force acting on the spring is equal to
, where
, is the deviation from the spring equilibrium length. The rotational force is thus
.
With this added term the equations of motion for the two coupled pendula become:
These equations cannot be solved analytically.
For small angles
and
the harmonic approximation can be used:
and
. The equations of motion become:
These two equations can be decoupled by adding and subtracting the two equations to give:
With solutions:
and
,
,
and
are determined by the initial conditions. Note that
, where
is the frequency for the single harmonic oscillator.
In physical terms
and
are the frequencies with which the pendula move either in phase, (
) or out of phase (
), as illustrated below.
In fase motion
|
Out of fase motion
|
The two modes can be combined to give the solution for
and 
In general, the two coupled pendula behave in a complex fashion. A classical example, is found for the initial angles
and
and setting all initial velocities to zero, as illustrated below.
One pendulum at rest, the other at an angle R
|
f
The four equations for the initial conditions at
are:
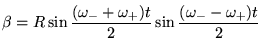
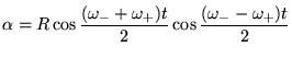
The solutions are
and
. The equations of motion become:
Using trigonometric identities for the sum and difference of cosine functions, this can be rewritten to give:
The solutions are plotted below:
One pendulum at rest, the other at an angle R=30 degrees
|
Equations (2) show that the motion of
and
is constructed out of a multiplication of 2 sines or cosines with different angular frequency (
and
).
The oscillation with long period
constitutes an envelope for the oscillation with smaller period
, so called beats.
In the weak coupling limit:
At
the first pendulum comes to rest whereas the second comes to rest at
.